Қарағанды қаласы әкімдігінің «Қарағанды қаласының білім бөлімі» мемлекеттік мекемесінің «№2 лицей» коммуналдық мемлекеттік мекемесі

Жаңалықтар

"Жыл командасы"
02.05.2016
"Жыл командасы"
Құттықтаймыз!
29.04.2016
Командасын лицей тұс қалалық жарыстарға футболдан "Былғары доп"!
"Болашақ энергиясы"
25.04.2016
23 сәуірде Қарму-да өткен облыстық жобалар сайысы физика пәнінен, тақырыбы "болашақ Энергиясы" студенттер біздің лицей. Татиев М. А. таныстырды атты "Күн энергиясы – болашақтың…
Марапаттау!
25.04.2016
Бүгін, салтанатты жиында марапаттап, мақтау қағаздарымен және сыйлықтарымен марапатталды жеңімпаздарды және жүлдегерлерді "зерттеу жұмыстарының Халықаралық конкурсына және" балдаурен"…
Қатысты екінші Республикалық педагогикалық конференция.
22.04.2016
Қатысты екінші Республикалық педагогикалық конференция.
Командасы 2016 жылғы
16.04.2016
16 сәуір Лицей "КММ №2" 15 "жас ұлан жылғы 2016", 4-сынып оқушыларына арналған. Оқушылар тапсырмалар бойынша 4 пән: қазақ тілі, орыс тілі, математика және дүниетану.
Саяхат Теміртау қ.
15.04.2016
Бүгін 5 сынып оқушылары мұражайында 1-ші Қазақстан Республикасы президентінің, ботаникалық бақ және спорттық-ойын алаңын Теміртау қаласы.
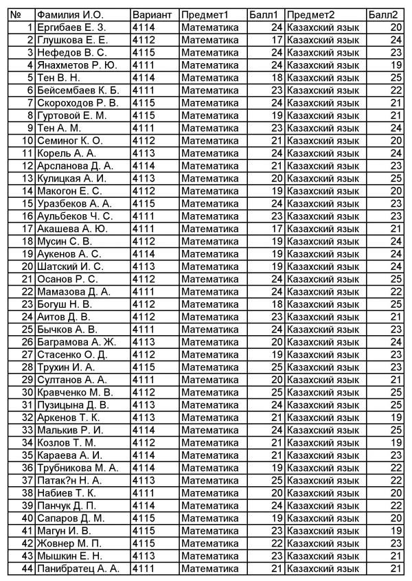
Алдын-ала тестілеу нәтижесі бойынша 11 сынып оқушылары арасында
14.04.2016
Алдын-ала тестілеу нәтижесі бойынша 11 сынып оқушылары арасында
Әдебиет сабағы
12.04.2016
Әдебиет сабағы, 11 сынып "Творчество В. Шукшин". Сабақтың мақсаты: сыни тұрғыдан ойлауды дамыту.
Салтанатты жиын
11.04.2016
Бүгінгі салтанатты жиында құттықтап, лицеистердің жеңімпаз - "қалалық зияткерлік сайысының. Қайда? Қашан?" сондай-ақ салтанатты түрде грамоталар мен сыйлықтарды жеңімпаздарға орыс тілі мен…
Құттықтаймыз!
11.04.2016
Командасын "Какао" жеңіспен, 5-ші Чемпионатына Қарағанды қаласының зияткерлік ойын "Не? Қайда? Қашан?" жасөспірімдер арасында! А. Рахимова Зюльфия болды үздік ойыншысы!
жаттығу құрама лицей мини-футбол бойынша
09.04.2016
жаттығу құрама лицей мини-футбол бойынша