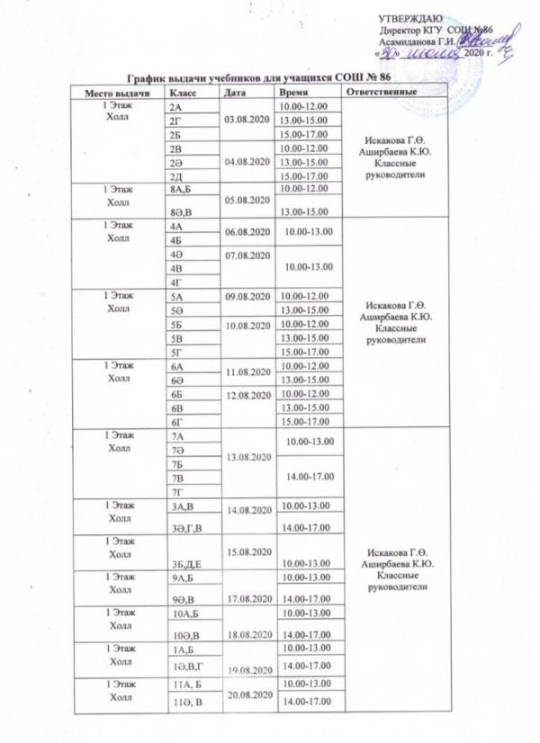
Қарағанды қаласы әкімдігінің "Қарағанды қаласының білім бөлімі" мемлекеттік мекемесінің "№86 жалпы білім беретін мектебі" коммуналдық мемлекеттік мекемесі

Learning the Kazakh language

қас, жау, дұшпан
враг
Question answer
Всего ответов: 193
Новых вопросов: 15

Новости

«За кадром кадр» (фильмы, анимации, мультфильмы)
01.08.2020
  Создавайте мультфильмы онлайн https://www.renderforest.com/ru/cartoon-maker Программы для создания анимации (онлайн) http://www.newart.ru/htm/flash/risovalka_7.htm https://gif…
Онлайн мастер-классы "Жизнь-театр" (театральное искусство)
29.07.2020
https://www.youtube.com/playlist?list=PLQ-TiZSGDdchpH_CTaZSfXHhEzYhwKbGN https://www.youtube.com/playlist?list=PLiTHErg0GTFA20Bzaz8CXnmXuljZog0Vt
ОНЛАЙН "КҮЙ ТАРТЫС"
28.07.2020
Домбыра- Қазақ халқының ең кең тараған екі ішекті, көп пернелі музыкалық аспабы. Ол – қазақтар өмірінде маңызды орын алатын, өзіндік музыкалық сипаты бар аспап. Алғаш эпикалық дәстүр шеңб…
"РАЗНОЦВЕТНОЕ ЛЕТО"
23.07.2020
https://www.youtube.com/watch?v=MagYhu62P00
Виртуальные экскурсии в музеи изобразительных искусств и др.
22.07.2020
  Центральный государственный музей Республики Казахстан один из старейших и крупнейших музеев Казахстана и Центральной Азии.  Коллекция фонда насчитывает около 300 тысяч ед…
Мастер-классы с известными художниками региона
20.07.2020
https://www.hudozhnik.online/mk Художники Караганды и Карагандинской области http://www.shuak.kz/index.phpoption=com_content&view=article&id=199&catid=38&Itemid=126&lang=r…